Conceição Pereira

Conceição Pereira
Licenciatura (5 anos) em Engenharia Electrotécnica e de Computadores, ramo de Sistemas Electrónicos e Computadores, no Instituto Superior Técnico.
Clique aqui para saber mais sobre Conceição Pereira
Conceição Pereira no LinkedIn

quarta-feira, 23 de outubro de 2013

Matlab para Sinais e Sistemas


Código em Matlab para obter os diagramas de Bode e as respostas:
- Ao impulso
- Ao escalão unitário

de um sistema cuja função de transferência é:







Se quiser explicações sobre matérias que encontre neste blogue), contacte-nos, de preferência por email. Este blogue destina-se à divulgação dos nossos serviços. É apenas uma pequena amostra do que sabemos e podemos fazer.

Contactos: eu.explico.lhe@gmail.com / eu.explico.lhe@hotmail.com / 91 978 82 70 / 96 426 05 63

quarta-feira, 14 de agosto de 2013

Análise de Sinais


Formulário resumo do módulo 5, de Análise de Sinais (ISEL- Eng. Eletrónica e Telecomunicações)






Se quiser explicações sobre matérias que encontre neste blogue), contacte-nos, de preferência por email. Este blogue destina-se à divulgação dos nossos serviços. É apenas uma pequena amostra do que sabemos e podemos fazer.

Contactos: eu.explico.lhe@gmail.com / eu.explico.lhe@hotmail.com / 91 978 82 70 / 96 426 05 63

sexta-feira, 19 de julho de 2013

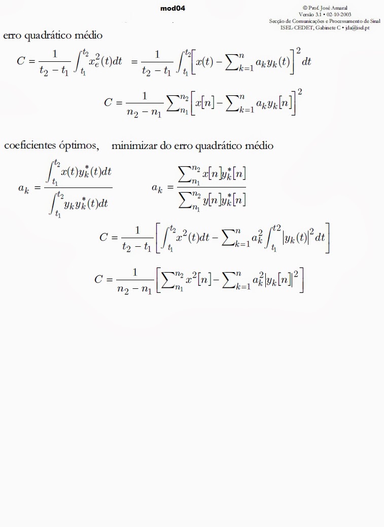
Análise de Sinais


Formulário resumo do módulo 4, de Análise de Sinais (ISEL- Eng. Eletrónica e Telecomunicações)




Se quiser explicações sobre matérias que encontre neste blogue), contacte-nos, de preferência por email. Este blogue destina-se à divulgação dos nossos serviços. É apenas uma pequena amostra do que sabemos e podemos fazer.

Contactos: eu.explico.lhe@gmail.com / eu.explico.lhe@hotmail.com / 91 978 82 70 / 96 426 05 63

terça-feira, 9 de julho de 2013

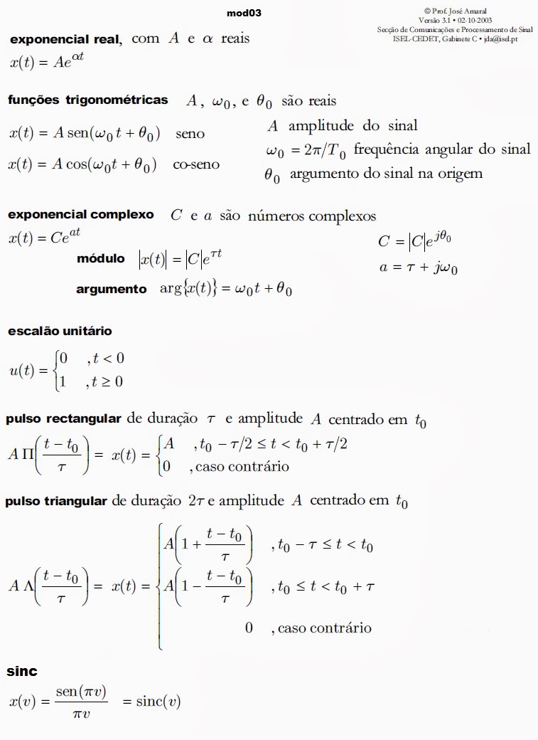
Análise de Sinais


Formulário resumo do módulo 3, de Análise de Sinais (ISEL- Eng. Eletrónica e Telecomunicações)








Se quiser explicações sobre matérias que encontre neste blogue), contacte-nos, de preferência por email. Este blogue destina-se à divulgação dos nossos serviços. É apenas uma pequena amostra do que sabemos e podemos fazer.

Contactos: eu.explico.lhe@gmail.com / eu.explico.lhe@hotmail.com / 91 978 82 70 / 96 426 05 63

sexta-feira, 5 de julho de 2013

Análise de Sinais


Formulário resumo do módulo 2, de Análise de Sinais (ISEL- Eng. Eletrónica e Telecomunicações)









Se quiser explicações sobre matérias que encontre neste blogue), contacte-nos, de preferência por email. Este blogue destina-se à divulgação dos nossos serviços. É apenas uma pequena amostra do que sabemos e podemos fazer.

Contactos: eu.explico.lhe@gmail.com / eu.explico.lhe@hotmail.com / 91 978 82 70 / 96 426 05 63

terça-feira, 25 de junho de 2013

Lei de Ohm


Calculadora automática pela Lei de Ohm

1ª Lei de Ohm e potência elétrica. Digite apenas dois valores nos campos e pressione o botão Calcular. Bons estudos!
Voltagem(U):VResistência(R):Ω
Amperagem(i):APotência(P):W

1ª lei de Ohm e potência

Se quiser explicações sobre matérias que encontre neste blogue), contacte-nos, de preferência por email. Este blogue destina-se à divulgação dos nossos serviços. É apenas uma pequena amostra do que sabemos e podemos fazer.

Contactos: eu.explico.lhe@gmail.com / eu.explico.lhe@hotmail.com / 91 978 82 70 / 96 426 05 63

segunda-feira, 17 de junho de 2013

Controlo Automático de Sistemas (problema resolvido)


Problema de modelação de sistema mecânico, em Controlo Automático de Sistemas, Eng. Mecânica, ISEL


Pag. 1 da resolução




Se quiser explicações sobre matérias que encontre neste blogue), contacte-nos, de preferência por email. Este blogue destina-se à divulgação dos nossos serviços. É apenas uma pequena amostra do que sabemos e podemos fazer.

Contactos: eu.explico.lhe@gmail.com / eu.explico.lhe@hotmail.com / 91 978 82 70 / 96 426 05 63

domingo, 9 de junho de 2013

Reconstrução ou Interpolação





Se quiser explicações sobre matérias que encontre neste blogue), contacte-nos, de preferência por email. Este blogue destina-se à divulgação dos nossos serviços. É apenas uma pequena amostra do que sabemos e podemos fazer.

Contactos: eu.explico.lhe@gmail.com / eu.explico.lhe@hotmail.com / 91 978 82 70 / 96 426 05 63


sábado, 8 de junho de 2013

Análise de Circuíto RLC paralelo


Estudo do regime transitório de um circuito RLC-paralelo.
Pag. 1 da resolução




Se quiser explicações sobre matérias que encontre neste blogue), contacte-nos, de preferência por email. Este blogue destina-se à divulgação dos nossos serviços. É apenas uma pequena amostra do que sabemos e podemos fazer.

Contactos: eu.explico.lhe@gmail.com / eu.explico.lhe@hotmail.com / 91 978 82 70 / 96 426 05 63


sexta-feira, 7 de junho de 2013

Operações com Sinais






Se quiser explicações sobre matérias que encontre neste blogue), contacte-nos, de preferência por email. Este blogue destina-se à divulgação dos nossos serviços. É apenas uma pequena amostra do que sabemos e podemos fazer.

Contactos: eu.explico.lhe@gmail.com / eu.explico.lhe@hotmail.com / 91 978 82 70 / 96 426 05 63



Explicações (matérias e universidades)

Preços