Apresentação sobre a constituição atómica da matéria.
O meu agradecimento aos autores pela partilha.
Fonte: http://www.prof2000.pt/users/lpa
Se quiser explicações sobre matérias que encontre neste blogue), contacte-nos, de preferência por email. Este blogue destina-se à divulgação dos nossos serviços. É apenas uma pequena amostra do que sabemos e podemos fazer.
Contactos: eu.explico.lhe@gmail.com / eu.explico.lhe@hotmail.com / 91 978 82 70 / 96 426 05 63
Explicações e Formação por medida. Veja abaixo a lista de matérias já disponíveis. Há sempre novas matérias em preparação e novos serviços a serem disponibilizados. Para mais informações contacte-nos: eu.explico.lhe@gmail.com / eu.explico.lhe@hotmail.com / +351 964 260 563 / Nome no Skype: euexplico
Páginas de Eu Explico
- Principal
- Análise de Circuitos, Circuitos Elétricos
- Arquitectura de Computadores, Assembly
- Automação, Controlo
- Eletrónica
- Eletrotecnia
- Eletromagnetismo e Ótica
- Física, Mecânica e Ondas
- Informática
- Processamento Digital de Sinais
- Programação
- Sinais, Sistemas, SSM, SEE
- Sistemas Digitais, LSD
- Formulários, Tabelas, Simbologia
- Apresentações
- Vídeos
- Eu Explico no Facebook
- Eu Explico (Site)
- Nos Fazemos
- Localização e Contactos
- Preços
- Outros serviços
- Nós Fazemos no Facebook
Conceição Pereira
Licenciatura (5 anos) em Engenharia Electrotécnica e de Computadores, ramo de Sistemas Electrónicos e Computadores, no Instituto Superior Técnico.
Clique aqui para saber mais sobre Conceição Pereira
Conceição Pereira no LinkedIn
quarta-feira, 1 de fevereiro de 2012
segunda-feira, 30 de janeiro de 2012
Papel semi-logarítmico
Aqui estão três ficheiros com papel semi-logarítmico para imprimir.
Muito útil para traçar diagramas de Bode assimptóticos, de magnitude e fase.
Folha com cinco décadas:
Folha com seis décadas:
Folha com sete décadas:
Se quiser explicações sobre matérias que encontre neste blogue), contacte-nos, de preferência por email. Este blogue destina-se à divulgação dos nossos serviços. É apenas uma pequena amostra do que sabemos e podemos fazer.
Contactos: eu.explico.lhe@gmail.com / eu.explico.lhe@hotmail.com / 91 978 82 70 / 96 426 05 63
Muito útil para traçar diagramas de Bode assimptóticos, de magnitude e fase.
Folha com cinco décadas:
Folha com seis décadas:
Folha com sete décadas:
Se quiser explicações sobre matérias que encontre neste blogue), contacte-nos, de preferência por email. Este blogue destina-se à divulgação dos nossos serviços. É apenas uma pequena amostra do que sabemos e podemos fazer.
Contactos: eu.explico.lhe@gmail.com / eu.explico.lhe@hotmail.com / 91 978 82 70 / 96 426 05 63
Algo para dar ânimo e coragem
Você
não pode mudar a direcção dos ventos,
mas também não precisa segui-la.
mas também não precisa segui-la.
Você
não pode prever o futuro,
mas pode construí-lo desde já.
mas pode construí-lo desde já.
Você
não pode falar pelos outros,
mas pode ensinar muita gente a pensar.
mas pode ensinar muita gente a pensar.
Você
não pode mudar o mundo,
mas pode ser a mudança que espera dele.
mas pode ser a mudança que espera dele.
Você
não pode acertar em tudo o que faz,
mas pode aprender com os erros.
mas pode aprender com os erros.
Você
não pode levantar a árvore derrubada,
mas pode plantar sementes e zelar pelas que florescerem.
mas pode plantar sementes e zelar pelas que florescerem.
Você
não pode ressuscitar os mortos,
mas pode perpetuar as suas boas lembranças.
mas pode perpetuar as suas boas lembranças.
Você
não pode prever uma doença,
mas pode com bons hábitos, preveni-la.
mas pode com bons hábitos, preveni-la.
Você
não pode amar pela pessoa amada,
mas, ao invés de cobrar, pode oferecer com sinceridade,
o amor que gostaria de receber.
mas, ao invés de cobrar, pode oferecer com sinceridade,
o amor que gostaria de receber.
Você
não pode voltar atrás e consertar um erro,
mas pode reconhecer e reparar danos.
Use a humildade!
mas pode reconhecer e reparar danos.
Use a humildade!
Você
não pode se comparar a ninguém,
mas pode se inspirar em bons exemplos.
mas pode se inspirar em bons exemplos.
Você
não pode abraçar o mundo,
mas pode abraçar a sua família,
e isso pode fazer a diferença!
mas pode abraçar a sua família,
e isso pode fazer a diferença!
Você
não pode querer tudo,
mas deve lutar pelo que tanto quer.
mas deve lutar pelo que tanto quer.
Você
não pode mesmo é ficar aí parado,
tem que descruzar os braços, sair da lamentação
e dar a si mesmo uma nova chance de recomeçar.
tem que descruzar os braços, sair da lamentação
e dar a si mesmo uma nova chance de recomeçar.
Porque não podemos ver o sol à noite,
mas podemos ter a certeza de que ele está no mesmo lugar,
e amanhã, apesar da tempestade, ele vai brilhar.
Brilhe também!
mas podemos ter a certeza de que ele está no mesmo lugar,
e amanhã, apesar da tempestade, ele vai brilhar.
Brilhe também!
Francisco Luís R. M.
Candeias
Se quiser explicações sobre matérias que encontre neste blogue), contacte-nos, de preferência por email. Este blogue destina-se à divulgação dos nossos serviços. É apenas uma pequena amostra do que sabemos e podemos fazer.
Contactos: eu.explico.lhe@gmail.com / eu.explico.lhe@hotmail.com / 91 978 82 70 / 96 426 05 63
quarta-feira, 25 de janeiro de 2012
Programação de Sistemas Computacionais / Sistemas Operativos
Também disponibilizamos explicações de Programação de Sistemas Computacionais / Sistemas Operativos, leccionadas por Paulo Pereira. Para saber mais sobre o explicador, clique sobre o nome.
Se quiser explicações sobre matérias que encontre neste blogue), contacte-nos, de preferência por email. Este blogue destina-se à divulgação dos nossos serviços. É apenas uma pequena amostra do que sabemos e podemos fazer.
Contactos: eu.explico.lhe@gmail.com / eu.explico.lhe@hotmail.com / 91 978 82 70 / 96 426 05 63
Se quiser explicações sobre matérias que encontre neste blogue), contacte-nos, de preferência por email. Este blogue destina-se à divulgação dos nossos serviços. É apenas uma pequena amostra do que sabemos e podemos fazer.
Contactos: eu.explico.lhe@gmail.com / eu.explico.lhe@hotmail.com / 91 978 82 70 / 96 426 05 63
terça-feira, 24 de janeiro de 2012
Fundamentos de Controlo IST
Resolução da pergunta I.3) do Teste T1, de 3 de Novembro de 2011.
Calcular a gama de valores de β para os quais o sistema G(s), é estável, no sentido entrada limitada/saída limitada.
Se quiser explicações sobre matérias que encontre neste blogue), contacte-nos, de preferência por email. Este blogue destina-se à divulgação dos nossos serviços. É apenas uma pequena amostra do que sabemos e podemos fazer.
Contactos: eu.explico.lhe@gmail.com / eu.explico.lhe@hotmail.com / 91 978 82 70 / 96 426 05 63
Calcular a gama de valores de β para os quais o sistema G(s), é estável, no sentido entrada limitada/saída limitada.
Se quiser explicações sobre matérias que encontre neste blogue), contacte-nos, de preferência por email. Este blogue destina-se à divulgação dos nossos serviços. É apenas uma pequena amostra do que sabemos e podemos fazer.
Contactos: eu.explico.lhe@gmail.com / eu.explico.lhe@hotmail.com / 91 978 82 70 / 96 426 05 63
segunda-feira, 9 de janeiro de 2012
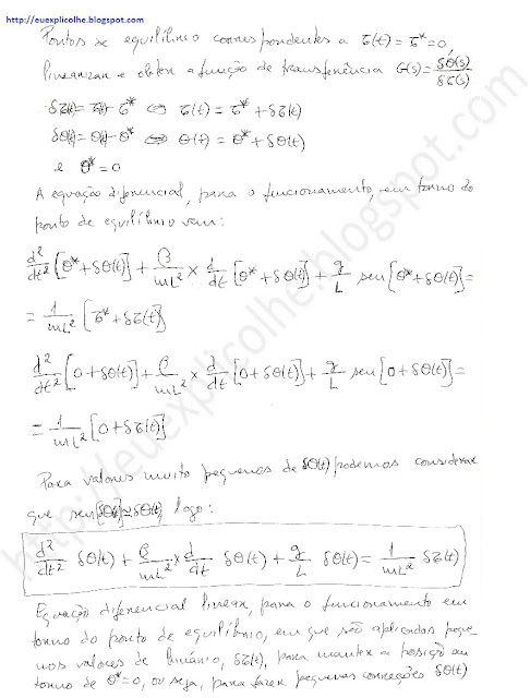
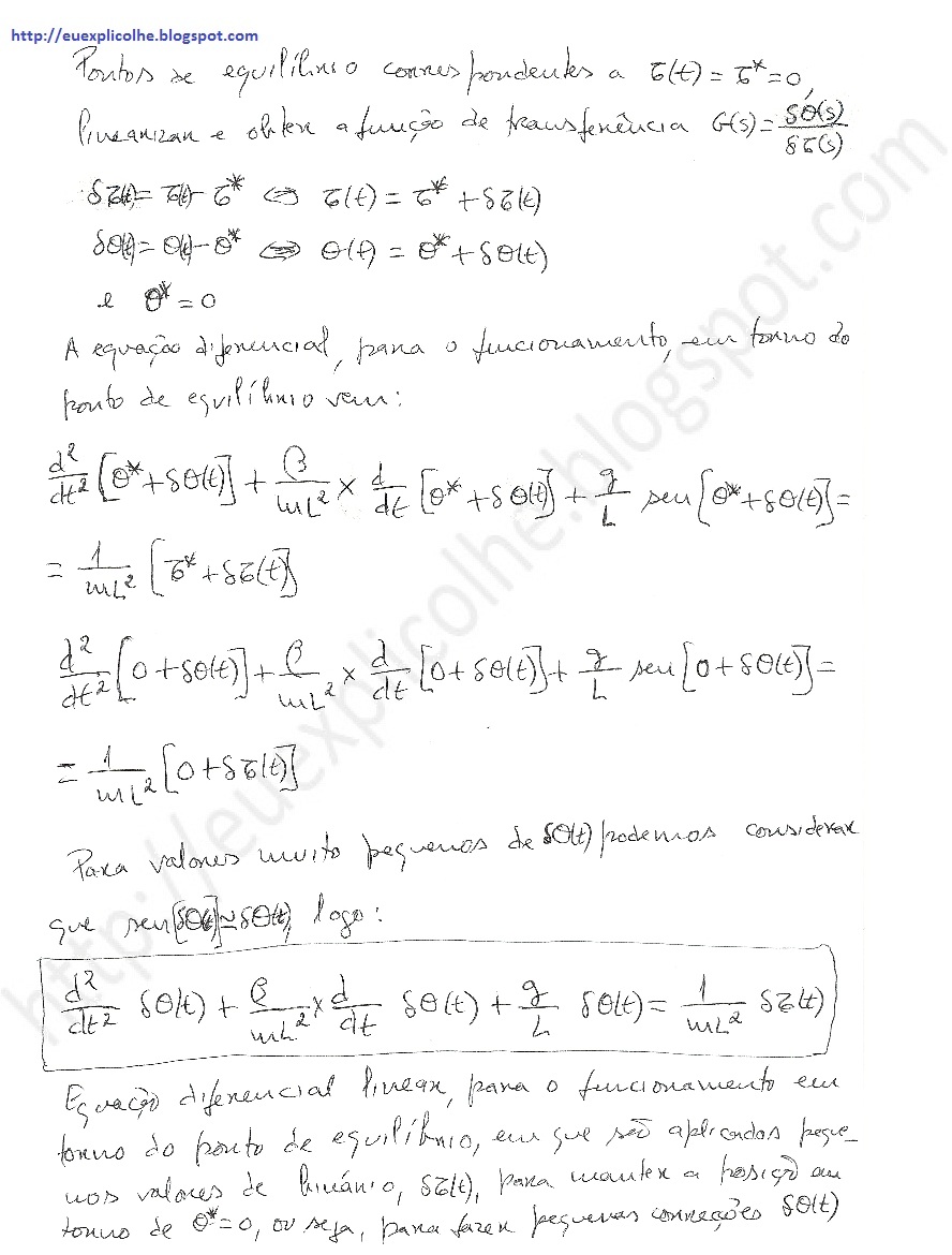
Fundamentos de Controlo IST
Resolução da pergunta I.2) do Teste T1, de 3 de Novembro de 2011.
Determinar pontos de equilíbrio, linearizar em torno dos pontos de equilíbrio, aplicar Transforma de Laplace, obter função de transferência.
Se quiser explicações sobre matérias que encontre neste blogue), contacte-nos, de preferência por email. Este blogue destina-se à divulgação dos nossos serviços. É apenas uma pequena amostra do que sabemos e podemos fazer.
Contactos: eu.explico.lhe@gmail.com / eu.explico.lhe@hotmail.com / 91 978 82 70 / 96 426 05 63
Determinar pontos de equilíbrio, linearizar em torno dos pontos de equilíbrio, aplicar Transforma de Laplace, obter função de transferência.
Se quiser explicações sobre matérias que encontre neste blogue), contacte-nos, de preferência por email. Este blogue destina-se à divulgação dos nossos serviços. É apenas uma pequena amostra do que sabemos e podemos fazer.
Contactos: eu.explico.lhe@gmail.com / eu.explico.lhe@hotmail.com / 91 978 82 70 / 96 426 05 63
sexta-feira, 6 de janeiro de 2012
Fundamentos de Controlo IST
Resolução da pergunta I.1) do Teste T1, de 3 de Novembro de 2011.
Obtenção da equação diferencial que relaciona a evolução do ângulo θ, com o binário de actuação externo, tau.
Se quiser explicações sobre matérias que encontre neste blogue), contacte-nos, de preferência por email. Este blogue destina-se à divulgação dos nossos serviços. É apenas uma pequena amostra do que sabemos e podemos fazer.
Contactos: eu.explico.lhe@gmail.com / eu.explico.lhe@hotmail.com / 91 978 82 70 / 96 426 05 63
Obtenção da equação diferencial que relaciona a evolução do ângulo θ, com o binário de actuação externo, tau.
Se quiser explicações sobre matérias que encontre neste blogue), contacte-nos, de preferência por email. Este blogue destina-se à divulgação dos nossos serviços. É apenas uma pequena amostra do que sabemos e podemos fazer.
Contactos: eu.explico.lhe@gmail.com / eu.explico.lhe@hotmail.com / 91 978 82 70 / 96 426 05 63
quinta-feira, 5 de janeiro de 2012
Equivalente de Thevenin
Resolução de um problema de Análise de Circuitos (Electrónica - ISEL), para a determinação do equivalente de Thévenin.
Se quiser explicações sobre matérias que encontre neste blogue), contacte-nos, de preferência por email. Este blogue destina-se à divulgação dos nossos serviços. É apenas uma pequena amostra do que sabemos e podemos fazer.
Contactos: eu.explico.lhe@gmail.com / eu.explico.lhe@hotmail.com / 91 978 82 70 / 96 426 05 63
Se quiser explicações sobre matérias que encontre neste blogue), contacte-nos, de preferência por email. Este blogue destina-se à divulgação dos nossos serviços. É apenas uma pequena amostra do que sabemos e podemos fazer.
Contactos: eu.explico.lhe@gmail.com / eu.explico.lhe@hotmail.com / 91 978 82 70 / 96 426 05 63
segunda-feira, 2 de janeiro de 2012
Estudo da função 3*sin(6*pi*t) + 5*cos(8*pi*t)
A soma da função sen(6*pi*t), periódica de período 1/3, com a função cos(8*pi*t), periódica de período 1/4, resulta numa função também periódica, mas de período 1.
Se quiser explicações sobre matérias que encontre neste blogue), contacte-nos, de preferência por email. Este blogue destina-se à divulgação dos nossos serviços. É apenas uma pequena amostra do que sabemos e podemos fazer.
Contactos: eu.explico.lhe@gmail.com / eu.explico.lhe@hotmail.com / 91 978 82 70 / 96 426 05 63
Se quiser explicações sobre matérias que encontre neste blogue), contacte-nos, de preferência por email. Este blogue destina-se à divulgação dos nossos serviços. É apenas uma pequena amostra do que sabemos e podemos fazer.
Contactos: eu.explico.lhe@gmail.com / eu.explico.lhe@hotmail.com / 91 978 82 70 / 96 426 05 63
quinta-feira, 22 de dezembro de 2011
Boas Festas
Que o Natal seja uma época de restabelecimento de confiança!
De voltar a acreditar que vale a pena viver e trabalhar por um Novo Ano!
Desejo a todos um Feliz Natal e
um Próspero Ano 2012
Se quiser explicações sobre matérias que encontre neste blogue), contacte-nos, de preferência por email. Este blogue destina-se à divulgação dos nossos serviços. É apenas uma pequena amostra do que sabemos e podemos fazer.
Contactos: eu.explico.lhe@gmail.com / eu.explico.lhe@hotmail.com / 91 978 82 70 / 96 426 05 63
Subscrever:
Mensagens (Atom)











