Resolução de um problema de Sinais e Sistemas Mecatronicos.
Para visualizar correctamente esta publicação precisa do Adobe Flash Player.
Esta resolução não é uma solução única. Poderá haver outras, que inclusive, sejam mais económicas em componentes.
Se quiser explicações mais detalhadas sobre esta matéria (ou outras que encontre neste blogue), contacte-nos, de preferência por email. Este blogue destina-se à divulgação dos nossos serviços. É apenas uma pequena amostra do que sabemos e podemos fazer.
Explicações e Formação por medida. Veja abaixo a lista de matérias já disponíveis. Há sempre novas matérias em preparação e novos serviços a serem disponibilizados. Para mais informações contacte-nos: eu.explico.lhe@gmail.com / eu.explico.lhe@hotmail.com / +351 964 260 563 / Nome no Skype: euexplico
Páginas de Eu Explico
- Principal
- Análise de Circuitos, Circuitos Elétricos
- Arquitectura de Computadores, Assembly
- Automação, Controlo
- Eletrónica
- Eletrotecnia
- Eletromagnetismo e Ótica
- Física, Mecânica e Ondas
- Informática
- Processamento Digital de Sinais
- Programação
- Sistemas Digitais, LSD
- Sinais, Sistemas, Sinais e Sistemas Mecatrónicos
- Sistemas Eléctricos monofásicos, trifásicos e Sist...
- Telecomunicações
- Formulários, Tabelas, Simbologia
- Apresentações
- Vídeos
- Eu Explico no Facebook
- Eu Explico (Site)
- Nos Fazemos
- Localização e Contactos
- Preços
- Outros serviços
- Nós Fazemos no Facebook
Conceição Pereira
Licenciatura (5 anos) em Engenharia Electrotécnica e de Computadores, ramo de Sistemas Electrónicos e Computadores, no Instituto Superior Técnico.
Clique aqui para saber mais sobre Conceição Pereira
Conceição Pereira no LinkedIn
quarta-feira, 8 de março de 2017
terça-feira, 7 de março de 2017
10% de desconto por quantidade
Em cada 10h de explicações, por aluno, efectuadas no período máximo de um mês e meio, oferecemos 1h de explicação.
Se quiser explicações contacte-nos, de preferência por email. Este blogue destina-se à divulgação dos nossos serviços. É apenas uma pequena amostra do que sabemos e podemos fazer.
Contactos: eu.explico.lhe@gmail.com / eu.explico.lhe@hotmail.com / 91 978 82 70 / 93 840 17 96 / 96 426 05 63
segunda-feira, 6 de março de 2017
Matlab - Código para obter os diagramas de Bode
Código em Matlab para obter os diagramas de Bode e as respostas:
- Ao impulso
- Ao escalão unitário
de um sistema cuja função de transferência é:
Se quiser a resolução completa e/ou explicações mais detalhadas sobre esta matéria (ou outras que encontre neste blogue), contacte-nos, de preferência por email. Este blogue destina-se à divulgação dos nossos serviços. É apenas uma pequena amostra do que sabemos e podemos fazer.
domingo, 5 de março de 2017
Formulário resumo do módulo 3 de Análise de Sinais ISEL
Formulário resumo do módulo 3, de Análise de Sinais (ISEL- Eng. Eletrónica e Telecomunicações)
Se quiser explicações sobre esta matéria (ou outras que encontre neste blogue), contacte-nos, de preferência por email. Este blogue destina-se à divulgação dos nossos serviços. É apenas uma pequena amostra do que sabemos e podemos fazer.
Se quiser explicações sobre esta matéria (ou outras que encontre neste blogue), contacte-nos, de preferência por email. Este blogue destina-se à divulgação dos nossos serviços. É apenas uma pequena amostra do que sabemos e podemos fazer.
sábado, 4 de março de 2017
Circuito RLC-paralelo
Estudo do regime transitório.
Para visualizar correctamente esta publicação precisa do Adobe Flash Player.
A primeira página está aqui
Se quiser a resolução completa e/ou explicações mais detalhadas sobre esta matéria (ou outras que encontre neste blogue), contacte-nos, de preferência por email. Este blogue destina-se à divulgação dos nossos serviços. É apenas uma pequena amostra do que sabemos e podemos fazer.
Contactos: eu.explico.lhe@gmail.com / nos2fazemos@gmail.com / 91 978 82 70 / 93 840 17 96 / 96 426 05 63
sexta-feira, 3 de março de 2017
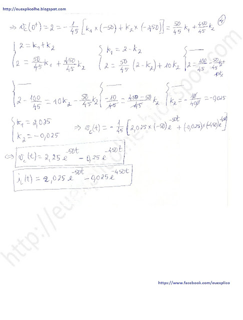
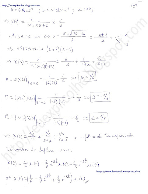
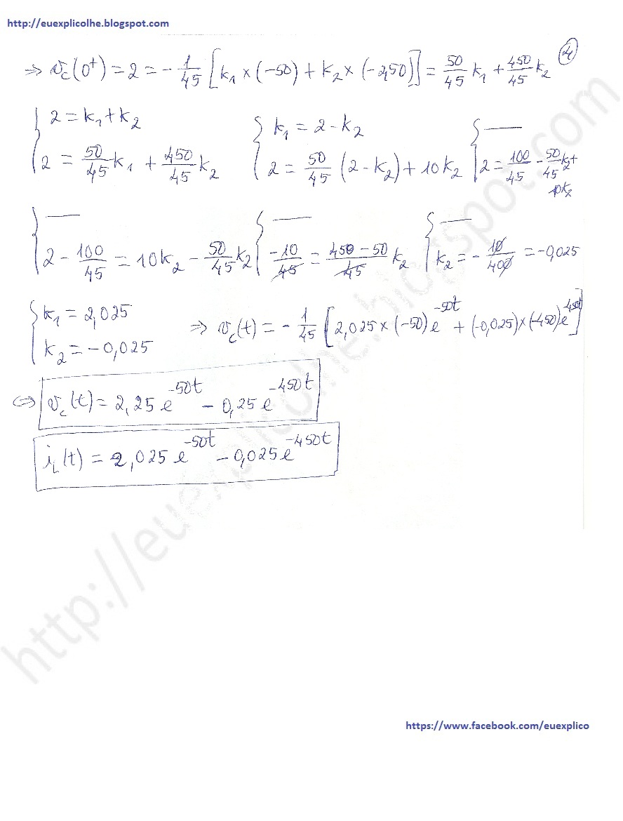
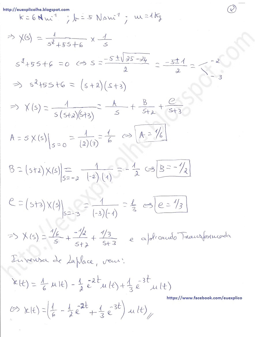
Problema de modelação de sistema mecânico
Controlo Automático de Sistemas, Eng. Mecânica, ISEL
A primeira página está aqui
Se quiser a resolução completa e/ou explicações mais detalhadas sobre esta matéria (ou outras que encontre neste blogue), contacte-nos, de preferência por email. Este blogue destina-se à divulgação dos nossos serviços. É apenas uma pequena amostra do que sabemos e podemos fazer.
Contactos: eu.explico.lhe@gmail.com / nos2fazemos@gmail.com / 91 978 82 70 / 93 840 17 96 / 96 426 05 63
A primeira página está aqui
Se quiser a resolução completa e/ou explicações mais detalhadas sobre esta matéria (ou outras que encontre neste blogue), contacte-nos, de preferência por email. Este blogue destina-se à divulgação dos nossos serviços. É apenas uma pequena amostra do que sabemos e podemos fazer.
Contactos: eu.explico.lhe@gmail.com / nos2fazemos@gmail.com / 91 978 82 70 / 93 840 17 96 / 96 426 05 63
quinta-feira, 2 de março de 2017
Resposta transitória de uma montagem RLC
Análise de Circuito RLC série.
Se quiser a resolução completa e/ou explicações mais detalhadas sobre esta matéria (ou outras que encontre neste blogue), contacte-nos, de preferência por email. Este blogue destina-se à divulgação dos nossos serviços. É apenas uma pequena amostra do que sabemos e podemos fazer.
Se quiser a resolução completa e/ou explicações mais detalhadas sobre esta matéria (ou outras que encontre neste blogue), contacte-nos, de preferência por email. Este blogue destina-se à divulgação dos nossos serviços. É apenas uma pequena amostra do que sabemos e podemos fazer.
segunda-feira, 27 de fevereiro de 2017
Problema de Mecânica e Ondas, IST
Problema 2, da série 9.
Para visualizar correctamente esta publicação precisa do Adobe Flash Player.
Se quiser a resolução completa e/ou explicações mais detalhadas sobre esta matéria (ou outras que encontre neste blogue), contacte-nos, de preferência por email. Este blogue destina-se à divulgação dos nossos serviços. É apenas uma pequena amostra do que sabemos e podemos fazer.
Contactos: eu.explico.lhe@gmail.com / eu.explico.lhe@hotmail.com / 91 978 82 70 / 93 840 17 96 / 96 426 05 63
domingo, 26 de fevereiro de 2017
Problema de exame de Análise de Sinais - FCT UNL
Resolução de problema do primeiro teste de 2012-2013.
Para visualizar correctamente esta publicação precisa do Adobe Flash Player.
A primeira página está aqui.
Se quiser a resolução completa e/ou explicações mais detalhadas sobre esta matéria (ou outras que encontre neste blogue), contacte-nos, de preferência por email. Este blogue destina-se à divulgação dos nossos serviços. É apenas uma pequena amostra do que sabemos e podemos fazer.
sábado, 25 de fevereiro de 2017
Molas - MHS
Introdução teórica ao movimento harmónico simples, com base na oscilação de molas.
Para visualizar correctamente esta publicação precisa do Adobe Flash Player.
A primeira página está aqui
Se quiser explicações mais detalhadas sobre esta matéria (ou outras que encontre neste blogue), contacte-nos, de preferência por email. Este blogue destina-se à divulgação dos nossos serviços. É apenas uma pequena amostra do que sabemos e podemos fazer.
Contactos: eu.explico.lhe@gmail.com / eu.explico.lhe@hotmail.com / 91 978 82 70 / 93 840 17 96 / 96 426 05 63
Subscrever:
Mensagens (Atom)


























