Conceição Pereira

Conceição Pereira
Licenciatura (5 anos) em Engenharia Electrotécnica e de Computadores, ramo de Sistemas Electrónicos e Computadores, no Instituto Superior Técnico.
Clique aqui para saber mais sobre Conceição Pereira
Conceição Pereira no LinkedIn

segunda-feira, 27 de fevereiro de 2017

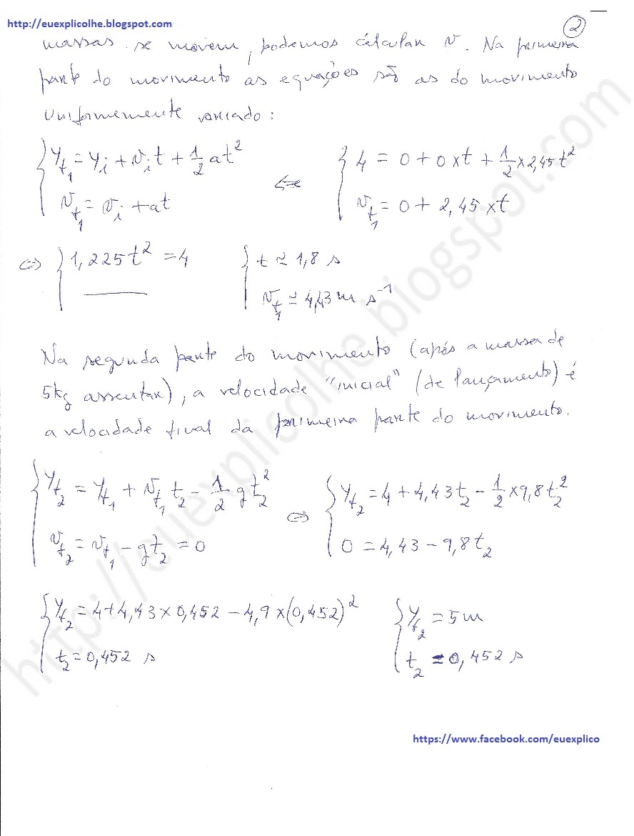
Problema de Mecânica e Ondas, IST


Problema 2, da série 9.


Para visualizar correctamente esta publicação precisa do Adobe Flash Player.


Se quiser a resolução completa e/ou explicações mais detalhadas sobre esta matéria (ou outras que encontre neste blogue), contacte-nos, de preferência por email. Este blogue destina-se à divulgação dos nossos serviços. É apenas uma pequena amostra do que sabemos e podemos fazer.

Contactos: eu.explico.lhe@gmail.com / eu.explico.lhe@hotmail.com / 91 978 82 70 / 93 840 17 96 / 96 426 05 63

domingo, 26 de fevereiro de 2017

Problema de exame de Análise de Sinais - FCT UNL


Resolução de problema do primeiro teste de 2012-2013.

Para visualizar correctamente esta publicação precisa do Adobe Flash Player.

A primeira página está aqui.


Se quiser a resolução completa e/ou explicações mais detalhadas sobre esta matéria (ou outras que encontre neste blogue), contacte-nos, de preferência por email. Este blogue destina-se à divulgação dos nossos serviços. É apenas uma pequena amostra do que sabemos e podemos fazer.


sábado, 25 de fevereiro de 2017

Molas - MHS


Introdução teórica ao movimento harmónico simples, com base na oscilação de molas.


Para visualizar correctamente esta publicação precisa do Adobe Flash Player.

A primeira página está aqui


Se quiser explicações mais detalhadas sobre esta matéria (ou outras que encontre neste blogue), contacte-nos, de preferência por email. Este blogue destina-se à divulgação dos nossos serviços. É apenas uma pequena amostra do que sabemos e podemos fazer.

Contactos: eu.explico.lhe@gmail.com / eu.explico.lhe@hotmail.com / 91 978 82 70 / 93 840 17 96 / 96 426 05 63

sexta-feira, 24 de fevereiro de 2017

Problema de Mecânica e Ondas

Série 8, Problema 1, alínea a)
Para visualizar correctamente esta publicação precisa do Adobe Flash Player.





Se quiser explicações mais detalhadas sobre esta matéria (ou outras que encontre neste blogue), contacte-nos, de preferência por email. Este blogue destina-se à divulgação dos nossos serviços. É apenas uma pequena amostra do que sabemos e podemos fazer.

Contactos: eu.explico.lhe@gmail.com / eu.explico.lhe@hotmail.com / 91 978 82 70 / 93 840 17 96 / 96 426 05 63

quinta-feira, 23 de fevereiro de 2017

Problema de Processamento Digital de Sinais - IST (DSP)







Se quiser a resolução completa e/ou explicações mais detalhadas sobre esta matéria (ou outras que encontre neste blogue), contacte-nos, de preferência por email. Este blogue destina-se à divulgação dos nossos serviços. É apenas uma pequena amostra do que sabemos e podemos fazer.

Contactos: eu.explico.lhe@gmail.com / eu.explico.lhe@hotmail.com / 91 978 82 70 / 93 840 17 96 / 96 426 05 63

segunda-feira, 20 de fevereiro de 2017

Problema de conversão entre bases de numeração



Para visualizar correctamente esta publicação precisa do Adobe Flash Player.



Se quiser a resolução completa e/ou explicações mais detalhadas sobre esta matéria (ou outras que encontre neste blogue), contacte-nos, de preferência por email. Este blogue destina-se à divulgação dos nossos serviços. É apenas uma pequena amostra do que sabemos e podemos fazer.

Contactos: eu.explico.lhe@gmail.com / eu.explico.lhe@hotmail.com / 91 978 82 70 / 93 840 17 96 / 96 426 05 63

Mecânica e Ondas - Resolução de problema

Resolução do problema 4, da série4_base de MO.


A primeira página da resolução está aqui


Se quiser a resolução completa e/ou explicações mais detalhadas sobre esta matéria (ou outras que encontre neste blogue), contacte-nos, de preferência por email. Este blogue destina-se à divulgação dos nossos serviços. É apenas uma pequena amostra do que sabemos e podemos fazer.

Contactos: eu.explico.lhe@gmail.com / eu.explico.lhe@hotmail.com / 91 978 82 70 / 93 840 17 96 / 96 426 05 63

domingo, 19 de fevereiro de 2017

Formulário resumo do módulo 2 de Análise de Sinais ISEL


Formulário resumo do módulo 2, de Análise de Sinais (ISEL- Eng. Eletrónica e Telecomunicações)







Se quiser explicações mais detalhadas sobre esta matéria (ou outras que encontre neste blogue), contacte-nos, de preferência por email. Este blogue destina-se à divulgação dos nossos serviços. É apenas uma pequena amostra do que sabemos e podemos fazer.


Trabalho Final de Curso


Documento de apresentação do meu Trabalho Final de Curso, em Junho de 2003.

Muitas noites eu passei sem dormir!...
Trabalhar, estudar, ser mãe e esposa, tudo ao mesmo tempo, sem quaisquer ajudas...

Mas deu-me um prazer enorme fazer este trabalho!

Para visualizar correctamente esta publicação precisa do Adobe Flash Player.



Se quiser explicações sobre esta matéria (ou outras que encontre neste blogue), contacte-nos, de preferência por email. Este blogue destina-se à divulgação dos nossos serviços. É apenas uma pequena amostra do que sabemos e podemos fazer.

Contactos: eu.explico.lhe@gmail.com / eu.explico.lhe@hotmail.com / 91 978 82 70 / 93 840 17 96 / 96 426 05 63

Problema 3.16 (b)-pag2 - Signals & Systems


Resolução do problema 3.16 (b) do livro indicado para Sinais e Sistemas de MEEC, no IST.




A primeira página da resolução está aqui




Se quiser explicações sobre matérias que encontre neste blogue), contacte-nos, de preferência por email. Este blogue destina-se à divulgação dos nossos serviços. É apenas uma pequena amostra do que sabemos e podemos fazer.



Explicações (matérias e universidades)

Preços