Conceição Pereira

Conceição Pereira
Licenciatura (5 anos) em Engenharia Electrotécnica e de Computadores, ramo de Sistemas Electrónicos e Computadores, no Instituto Superior Técnico.
Clique aqui para saber mais sobre Conceição Pereira
Conceição Pereira no LinkedIn
A apresentar mensagens correspondentes à consulta circuitos ordenadas por relevância. Ordenar por data Mostrar todas as mensagens
A apresentar mensagens correspondentes à consulta circuitos ordenadas por relevância. Ordenar por data Mostrar todas as mensagens

terça-feira, 15 de outubro de 2019

Circuitos, Análise de Circuitos, Circuitos Elétricos


Pesquisa de artigos sobre Circuitos, neste blogue. Clique no link.

Análise de Circuitos/Teoria de Circuitos

Problema resolvido de TCFE (Teoria dos Circuítos e Fundamentos de Electrónica)

Resolução: determinar o equivalente de Norton aos terminais de um circuito

Resolução de problema de exame, de ACir, IST Alameda, MEEC

Resolução de um problema sobre resposta transitória de uma montagem RLC

Resolução de um exercício de teste (1-12-2012) de Circuitos Eléctricos e Sistemas Digitais

Resolução de exercício do exame de 23-01-2010, de Circuitos Eléctricos e Sistemas Digitais

Resolução de um problema de Electrónica de LEIC, ISEL

Resolução de um problema de teste de Fundamentos de Electrónica, da Escola Naval

Resolução de pergunta de teste de Electrónica de 2010-01-09  - ISEL - LEIC

Exercício de CESD

Circuitos Eléctricos - resolução de um exercício


Se quiser informações detalhadas sobre esta matéria (ou outras que encontre neste blogue), contacte-nos, de preferência por email. Este blogue destina-se à divulgação dos nossos serviços. É apenas uma pequena amostra do que sabemos e podemos fazer.




segunda-feira, 2 de abril de 2018

Análise de Circuitos/Teoria de Circuitos

Resolução pelo Teorema/Princípio da Sobreposição: podemos determinar a resposta de circuitos lineares a várias fontes, calculando a resposta a cada uma das fontes individualmente (anulando as restantes), e adicionando as respostas.
Anulam-se fontes de tensão substituindo-as por curto-circuitos.
Anulam-se fontes de corrente, substituindo-as por circuitos abertos.





Se quiser explicações sobre esta matéria (ou outras que encontre neste blogue), contacte-nos, de preferência por email. Este blogue destina-se à divulgação dos nossos serviços. É apenas uma pequena amostra do que sabemos e podemos fazer.


domingo, 17 de junho de 2012

Electrotecnia Teórica


Temos disponível para explicações, a matéria de Electrotecnia Teórica, correspondente aos textos do Prof. Borges da Silva.

Foi já leccionada, a vários alunos de Elementos de Electrotecnia, LEGI, IST.
Convém começar o quanto antes a preparação. Nem todos, são assuntos triviais.

Programa de Elementos de Electrotecnia:

Campo Eléctrico Estático: capacidade de um condensador, energia eléctrica, sistema de mais de dois condutores.
Correntes estacionárias: resistência de um troço de condutor, efeito de Joule, geradores, circuitos eléctricos, introdução à análise de redes eléctricas.
Campo magnético estacionário: lei do circuito magnético, propriedades magnéticas dos materiais, circuitos com ímanes permanentes.
Lei da indução: coeficientes de indução, energia magnética.
Cálculo de forças de natureza magnética: aplicação ao electro-íman, esforços electro-dinâmicos, cálculo de binários em sistemas rotativos.
Leis de Maxwell: interpretação energética, regime quase-estacionário.
Circuitos em regime forçado sinusoidal: noção de amplitude complexa e cálculo simbólico, noção de impedância, potência activa, reactiva e complexa. Ressonância. Compensação do factor de potência.
Transformador monofásico: esquemas equivalentes, perdas. Lei da indução com corpos em movimento, princípio da conversão electromecânica de energia, máquinas eléctricas rotativas. Sistemas trifásicos, configurações do gerador e da carga, potência trifásica, campo girante.
Máquina de corrente contínua: motor série universal.
Máquina assíncrona: esquema equivalente em regime permanente. Características.
Máquina síncrona: esquema equivalente em regime permanente. Características.

Explicador: Paulo Pereira



Se quiser explicações sobre matérias que encontre neste blogue), contacte-nos, de preferência por email. Este blogue destina-se à divulgação dos nossos serviços. É apenas uma pequena amostra do que sabemos e podemos fazer.




segunda-feira, 15 de outubro de 2018

Resolução de um problema de Análise de Circuitos

Resolução de um problema de Análise de Circuitos (Electrónica - ISEL), para a determinação do equivalente de Thévenin.





Se quiser explicações sobre matérias que encontre neste blogue), contacte-nos, de preferência por email. Este blogue destina-se à divulgação dos nossos serviços. É apenas uma pequena amostra do que sabemos e podemos fazer.


terça-feira, 21 de março de 2017

LTspice - editor e simulador de circuitos eletricos


O LTspice (http://www.linear.com/designtools/software/#LTspice) é um editor e simulador de circuitos eléctricos.
 
Nós podemos ajudar a instalar, configurar e usar este programa.




Se quiser explicações contacte-nos, de preferência por email. Este blogue destina-se à divulgação dos nossos serviços. É apenas uma pequena amostra do que sabemos e podemos fazer.

Contactos: eu.explico.lhe@gmail.com / eu.explico.lhe@hotmail.com / 91 978 82 70 / 93 840 17 96 / 96 426 05 63 

sábado, 3 de novembro de 2012

Logisim - editor e simulador de circuitos lógicos


Programa para edição e simulação de circuitos lógicos: Logisim
Basta fazer download e executar. Não requer instalação.
Muito simples e intuitivo.





Se quiser explicações sobre matérias que encontre neste blogue), contacte-nos, de preferência por email. Este blogue destina-se à divulgação dos nossos serviços. É apenas uma pequena amostra do que sabemos e podemos fazer.



terça-feira, 18 de setembro de 2012

Símbolos para circuitos eléctricos


Lista dos principais símbolos usados em circuitos eléctricos e electrónicos.



Se quiser explicações sobre matérias que encontre neste blogue), contacte-nos, de preferência por email. Este blogue destina-se à divulgação dos nossos serviços. É apenas uma pequena amostra do que sabemos e podemos fazer.


segunda-feira, 18 de junho de 2012

Electrónica e Instrumentação / Circuítos


Está disponível e em leccionação a matéria de Electrónica e Instrumentação, Eng. Mecânica, ISEL.
Esta matéria é também leccionada em muitas outras disciplinas, cursos e universidades.
Faz parte da matéria de disciplinas como: Análise de Circuitos, Teoria de Circuitos e Fundamentos de Electrónica, etc.

Exemplo de um exercício típico



Se quiser explicações sobre matérias que encontre neste blogue), contacte-nos, de preferência por email. Este blogue destina-se à divulgação dos nossos serviços. É apenas uma pequena amostra do que sabemos e podemos fazer.


segunda-feira, 27 de fevereiro de 2012

Circuítos Eléctricos

Um Kit (em Java) para construção de circuitos eléctricos DC, no PC.
Permite construir circuitos com resistências, baterias, lâmpadas, interruptores.
Permite medir tensões e correntes com voltímetros e amperímetros.
Permite a visualização, também, em esquemático.
Permite guardar o circuito no PC e abri-lo mais tarde.
Tudo muito simples, com clique e arrasto do rato.

Circuit Construction Kit (DC Only)
Click to Run


Se quiser explicações sobre matérias que encontre neste blogue), contacte-nos, de preferência por email. Este blogue destina-se à divulgação dos nossos serviços. É apenas uma pequena amostra do que sabemos e podemos fazer.


segunda-feira, 14 de outubro de 2019

Eletrónica, Fundamentos de Electrónica


Pesquisa de artigos sobre Electrónica, neste blogue. Clique no link.

Pesquisa de artigos sobre Eletrónica, neste blogue. Clique no link.

Resolução de um problema sobre modelo incremental do transistor BJT -  TCFE, IST 

Electrónica - Díodos

Fundamentos de Electrónica - IST, Formulário Cap.1

Fundamentos de Electrónica - IST, Formulário do Cap.2

Fundamentos de Electrónica - IST, Formulário Cap.4

Fundamentos de Electrónica - IST - Tiristor, Cap.5

Fundamentos de Electrónica - IST - Heterojunções, Cap.6


Resolução de um exercício do teste/exame, de Electrónica I, do IST

Electrónica: Transistor NMOS - Regiões de operação 

Electrónica - Características dos amplificadores MOS

Filtro passa-alto

Filtro passa-baixo

Eletrónica - Amplificadores

Funções de Transferência de Montagens básicas com AmpOps

Resolução de problema do exame de 11-02-2013, de Electrónica e Instrumentação, do ISEL


Resolução de problema de exame de Electrónica e Instrumentação do ISEL

Electrónica e Instrumentação / Circuítos

Resolução de Problema do 3º teste de Electrónica, Eng. Biomédica, FCT UNL 


Resolução de exercício do exame de 23-01-2010, de Circuitos Eléctricos e Sistemas Digitais


Resolução de um problema de Electrónica de LEIC, ISEL

Resolução de pergunta de teste de Electrónica de 2010-01-09  - ISEL - LEIC 

Resolução de um problema de teste de Fundamentos de Electrónica, da Escola Naval



Se quiser informações detalhadas sobre esta matéria (ou outras que encontre neste blogue), contacte-nos, de preferência por email. Este blogue destina-se à divulgação dos nossos serviços. É apenas uma pequena amostra do que sabemos e podemos fazer.



domingo, 2 de dezembro de 2018

Resolução de problema de exame, de ACir, IST Alameda, MEEC

Problema de exame, de Análise de Circuitos, do IST Alameda, Eng. Electrotécnica e de Computadores.

Enunciado:



Pag. 1 da resolução:












Se quiser explicações sobre matérias que encontre neste blogue, contacte-nos, de preferência por email. Este blogue destina-se à divulgação dos nossos serviços. É apenas uma pequena amostra do que sabemos e podemos fazer.

Contacte-nos:

segunda-feira, 29 de outubro de 2018

Como construir um flip-flop JK com um flip-flop D e lógica adicional


Precisa de um flip-flop do tipo JK mas só tem um flip-flop tipo D e circuitos combinatórios?
Não tem problema. Veja abaixo como pode fabricar um JK com um D e lógica combinatória.



Se quiser explicações sobre matérias que encontre neste blogue), contacte-nos, de preferência por email. Este blogue destina-se à divulgação dos nossos serviços. É apenas uma pequena amostra do que sabemos e podemos fazer.

Contactos: eu.explico.lhe@gmail.com / eu.explico.lhe@hotmail.com / 91 978 82 70 / 96 426 05 63

quinta-feira, 25 de outubro de 2018

Resolução de exercício do exame de 23-01-2010, de Circuitos Eléctricos e Sistemas Digitais


Resolução do exercício 3.b) do exame de 23-01-2010, de CESD, eng. Biomédica, FCUL







Se quiser explicações sobre matérias que encontre neste blogue), contacte-nos, de preferência por email. Este blogue destina-se à divulgação dos nossos serviços. É apenas uma pequena amostra do que sabemos e podemos fazer.


terça-feira, 23 de outubro de 2018

Resolução de um exercício de teste de Circuitos Eléctricos e Sistemas Digitais


Resolução de um exercício do 1º teste de 2012-2013, de CESD, eng. Biomédica, FCUL









Se quiser explicações sobre matérias que encontre neste blogue), contacte-nos, de preferência por email. Este blogue destina-se à divulgação dos nossos serviços. É apenas uma pequena amostra do que sabemos e podemos fazer.


segunda-feira, 4 de junho de 2018

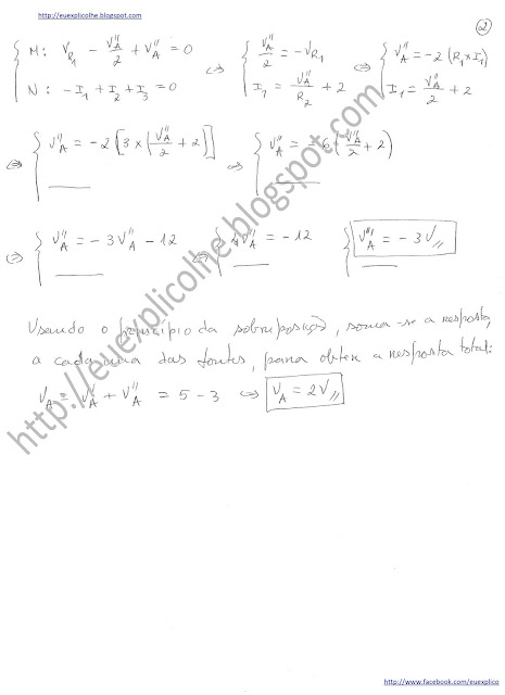
Análise de Circuitos

Na resolução deste problema são usados:
- O teorema da sobreposição
- A lei das malhas
- A lei dos nós
- A lei de Ohm



Se quiser a resolução completa e/ou explicações mais detalhadas sobre esta matéria (ou outras que encontre neste blogue), contacte-nos, de preferência por email. Este blogue destina-se à divulgação dos nossos serviços. É apenas uma pequena amostra do que sabemos e podemos fazer.


sábado, 18 de março de 2017

Circuitos Eléctricos - resolução de um exercício

Resolução de um exercício do 1º teste de 2012-2013

Para visualizar correctamente esta publicação precisa do Adobe Flash Player.

A primeira página está aqui.


Se quiser a resolução completa e/ou explicações mais detalhadas sobre esta matéria (ou outras que encontre neste blogue), contacte-nos, de preferência por email. Este blogue destina-se à divulgação dos nossos serviços. É apenas uma pequena amostra do que sabemos e podemos fazer.


Explicações (matérias e universidades)

Preços