Conceição Pereira

Conceição Pereira
Licenciatura (5 anos) em Engenharia Electrotécnica e de Computadores, ramo de Sistemas Electrónicos e Computadores, no Instituto Superior Técnico.
Clique aqui para saber mais sobre Conceição Pereira
Conceição Pereira no LinkedIn
A apresentar mensagens correspondentes à consulta Mecânica e Ondas ordenadas por relevância. Ordenar por data Mostrar todas as mensagens
A apresentar mensagens correspondentes à consulta Mecânica e Ondas ordenadas por relevância. Ordenar por data Mostrar todas as mensagens

domingo, 1 de abril de 2012

Determinar Aceleração e, Tensões nos fios, de um sistema de massas e roldanas

Mecânica e Ondas



Se quiser explicações sobre matérias que encontre neste blogue), contacte-nos, de preferência por email. Este blogue destina-se à divulgação dos nossos serviços. É apenas uma pequena amostra do que sabemos e podemos fazer.



quarta-feira, 14 de novembro de 2018

Resolução de problema de Mecânica e Ondas - MEEC - IST, Alameda


Enunciado do problema 3, da série 2_base







Resolução






Se quiser a resolução completa e/ou explicações mais detalhadas sobre esta matéria (ou outras que encontre neste blogue), contacte-nos, de preferência por email. Este blogue destina-se à divulgação dos nossos serviços. É apenas uma pequena amostra do que sabemos e podemos fazer.

Contactos: eu.explico.lhe@gmail.com / eu.explico.lhe@hotmail.com / 91 978 82 70 / 93 840 17 96 / 96 426 05 63

segunda-feira, 27 de fevereiro de 2017

Problema de Mecânica e Ondas, IST


Problema 2, da série 9.


Para visualizar correctamente esta publicação precisa do Adobe Flash Player.


Se quiser a resolução completa e/ou explicações mais detalhadas sobre esta matéria (ou outras que encontre neste blogue), contacte-nos, de preferência por email. Este blogue destina-se à divulgação dos nossos serviços. É apenas uma pequena amostra do que sabemos e podemos fazer.

Contactos: eu.explico.lhe@gmail.com / eu.explico.lhe@hotmail.com / 91 978 82 70 / 93 840 17 96 / 96 426 05 63

segunda-feira, 20 de fevereiro de 2017

Mecânica e Ondas - Resolução de problema

Resolução do problema 4, da série4_base de MO.


A primeira página da resolução está aqui


Se quiser a resolução completa e/ou explicações mais detalhadas sobre esta matéria (ou outras que encontre neste blogue), contacte-nos, de preferência por email. Este blogue destina-se à divulgação dos nossos serviços. É apenas uma pequena amostra do que sabemos e podemos fazer.

Contactos: eu.explico.lhe@gmail.com / eu.explico.lhe@hotmail.com / 91 978 82 70 / 93 840 17 96 / 96 426 05 63

terça-feira, 12 de março de 2013

Mecânica e Ondas - MEEC - IST


Enunciado do problema 3, da série 2_base, Alameda







Pag.1 da resolução





Se quiser a resolução completa e/ou explicações mais detalhadas sobre esta matéria (ou outras que encontre neste blogue), contacte-nos, de preferência por email. Este blogue destina-se à divulgação dos nossos serviços. É apenas uma pequena amostra do que sabemos e podemos fazer.

Contactos: eu.explico.lhe@gmail.com / eu.explico.lhe@hotmail.com / 91 978 82 70 / 93 840 17 96 / 96 426 05 63

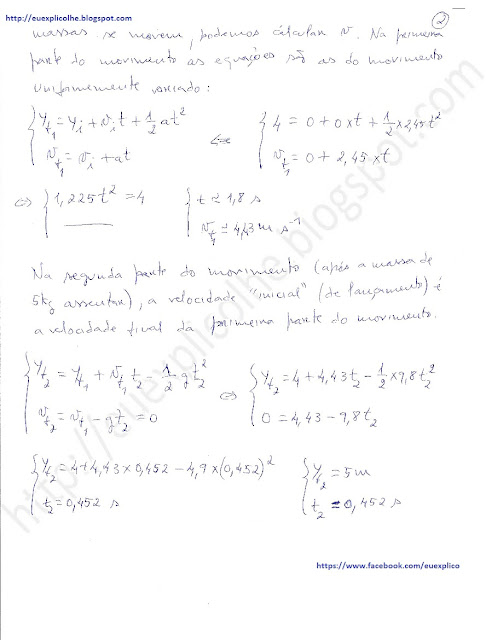
quarta-feira, 28 de novembro de 2018

Resolução do problema 3, Série 9_base, de Mecânica e Ondas, MEEC, IST Alameda


Enunciado:


Resolução:








Se quiser explicações sobre matérias que encontre neste blogue, contacte-nos, de preferência por email. Este blogue destina-se à divulgação dos nossos serviços. É apenas uma pequena amostra do que sabemos e podemos fazer.

Contacte-nos:

sexta-feira, 9 de novembro de 2018

Resolução de problema de série de Mecânica e Ondas - MEEC - IST

Série 8, Problema 1, alínea a)


Resolução



Se quiser explicações sobre matérias que encontre neste blogue), contacte-nos, de preferência por email. Este blogue destina-se à divulgação dos nossos serviços. É apenas uma pequena amostra do que sabemos e podemos fazer.

Contactos: eu.explico.lhe@gmail.com / eu.explico.lhe@hotmail.com / 91 978 82 70 / 96 426 05 63


quarta-feira, 7 de novembro de 2018

Resolução do problema 4, da série4_base de Mecânica e Ondas - MEEC - IST Alameda


Enunciado


Resolução




Se quiser explicações sobre matérias que encontre neste blogue), contacte-nos, de preferência por email. Este blogue destina-se à divulgação dos nossos serviços. É apenas uma pequena amostra do que sabemos e podemos fazer.

Contactos: eu.explico.lhe@gmail.com / eu.explico.lhe@hotmail.com / 91 978 82 70 / 96 426 05 63

terça-feira, 6 de novembro de 2018

Resolução do problema 2, da série4_base de Mecânica e Ondas, MEEC, IST, Alameda


Enunciado

Resolução







Se quiser explicações sobre matérias que encontre neste blogue), contacte-nos, de preferência por email. Este blogue destina-se à divulgação dos nossos serviços. É apenas uma pequena amostra do que sabemos e podemos fazer.

Contactos: eu.explico.lhe@gmail.com / eu.explico.lhe@hotmail.com / 91 978 82 70 / 96 426 05 63

sexta-feira, 24 de fevereiro de 2017

Problema de Mecânica e Ondas

Série 8, Problema 1, alínea a)
Para visualizar correctamente esta publicação precisa do Adobe Flash Player.





Se quiser explicações mais detalhadas sobre esta matéria (ou outras que encontre neste blogue), contacte-nos, de preferência por email. Este blogue destina-se à divulgação dos nossos serviços. É apenas uma pequena amostra do que sabemos e podemos fazer.

Contactos: eu.explico.lhe@gmail.com / eu.explico.lhe@hotmail.com / 91 978 82 70 / 93 840 17 96 / 96 426 05 63

domingo, 19 de fevereiro de 2017

Problema de Mecânica e Ondas


Resolução do problema 2, da série4_base de MO.


Página 1 da resolução aqui




Se quiser explicações sobre matérias que encontre neste blogue), contacte-nos, de preferência por email. Este blogue destina-se à divulgação dos nossos serviços. É apenas uma pequena amostra do que sabemos e podemos fazer.

Contactos: eu.explico.lhe@gmail.com / eu.explico.lhe@hotmail.com / 91 978 82 70 / 96 426 05 63

sábado, 10 de maio de 2014

Mecânica e Ondas / Física

Série 9_base, problema 3, IST Alameda, MEEC

Enunciado:


Pag. 1 da resolução:



Se quiser explicações sobre matérias que encontre neste blogue), contacte-nos, de preferência por email. Este blogue destina-se à divulgação dos nossos serviços. É apenas uma pequena amostra do que sabemos e podemos fazer.

Contactos: eu.explico.lhe@gmail.com / eu.explico.lhe@hotmail.com / 91 978 82 70 / 96 426 05 63

domingo, 28 de abril de 2013

Mecânica e Ondas - MEEC - IST

Série 8, Problema 1, alínea a)


Resolução



Se quiser explicações sobre matérias que encontre neste blogue), contacte-nos, de preferência por email. Este blogue destina-se à divulgação dos nossos serviços. É apenas uma pequena amostra do que sabemos e podemos fazer.

Contactos: eu.explico.lhe@gmail.com / eu.explico.lhe@hotmail.com / 91 978 82 70 / 96 426 05 63


terça-feira, 2 de abril de 2013

Mecânica e Ondas - MEEC - IST


Pag.1 da resolução do problema 4, da série4_base de MO.






Se quiser explicações sobre matérias que encontre neste blogue), contacte-nos, de preferência por email. Este blogue destina-se à divulgação dos nossos serviços. É apenas uma pequena amostra do que sabemos e podemos fazer.

Contactos: eu.explico.lhe@gmail.com / eu.explico.lhe@hotmail.com / 91 978 82 70 / 96 426 05 63

terça-feira, 26 de março de 2013

Mecânica e Ondas - MEEC - IST


Resolução do problema 2, da série4_base de MO.





Continuação da resolução aqui.


Se quiser explicações sobre matérias que encontre neste blogue), contacte-nos, de preferência por email. Este blogue destina-se à divulgação dos nossos serviços. É apenas uma pequena amostra do que sabemos e podemos fazer.

Contactos: eu.explico.lhe@gmail.com / eu.explico.lhe@hotmail.com / 91 978 82 70 / 96 426 05 63

Explicações (matérias e universidades)

Preços