Propriedades da Transformada de Fourier em tempo contínuo
Resolução de um problema de Sinais e Sistemas Mecatrónicos, MIEM, IST
Demonstração: Transformada de Laplace [ x(t) * h(t) ] = X(s) x H(s)
Sinais e Sistemas - propriedades
Resolução de problema de teste de Processamento de Sinal
Resolução de um problema de Sinais e Sistemas
Determinar em representar os coeficientes de Fourier de um sinal
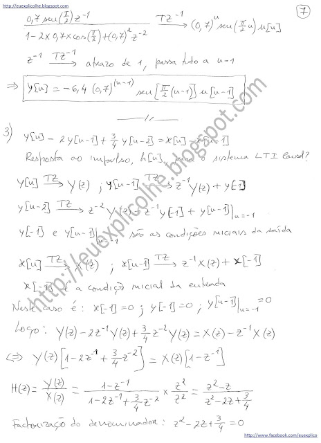
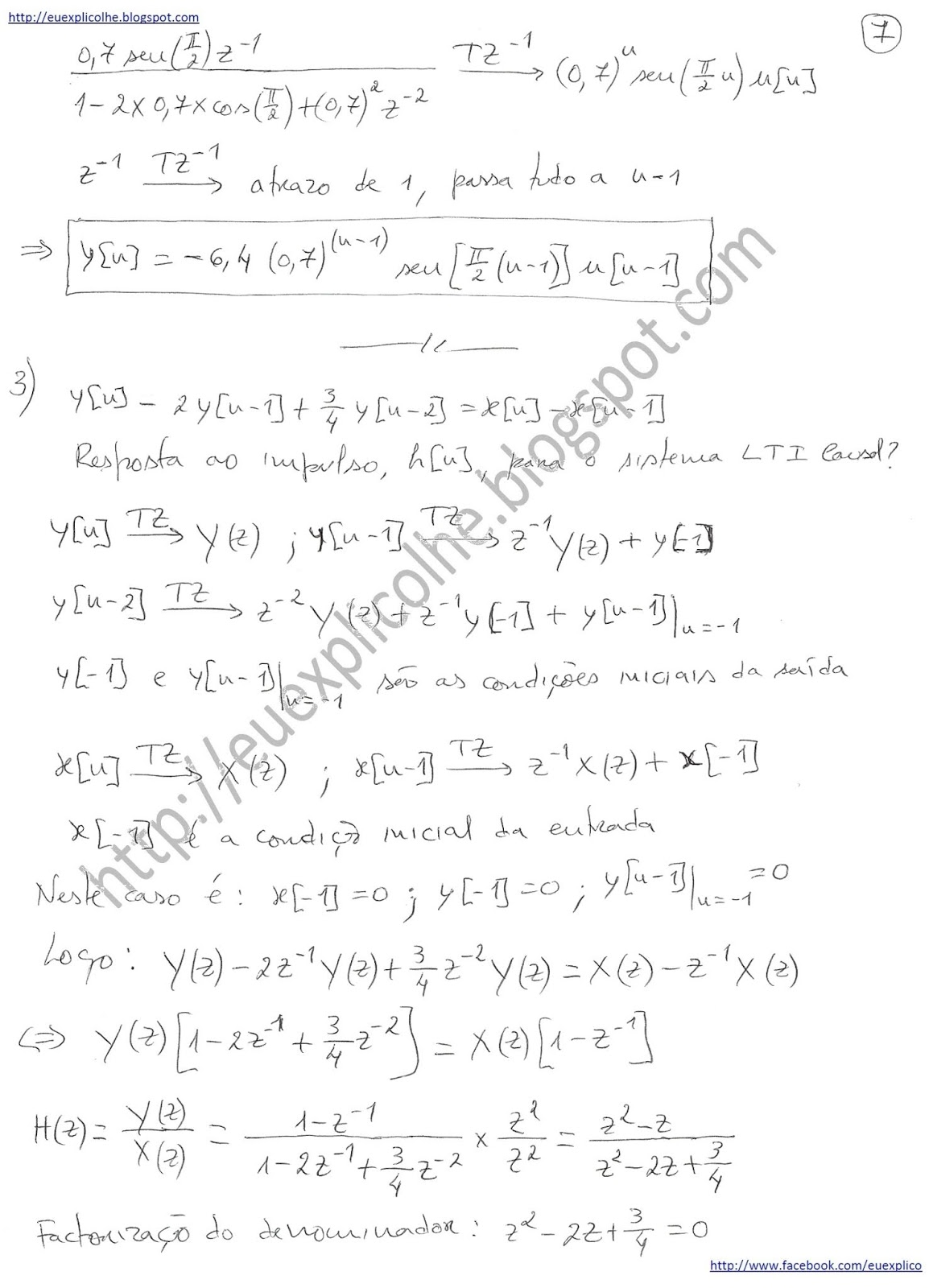
Convolução de Sinais em tempo Discreto
Soma de termos de uma progressão geométrica
Tabela de pares de Transformadas de Laplace
Formulário resumo do módulo 2 de Análise de Sinais ISEL
Formulário resumo do módulo 3 de Análise de Sinais ISEL
Formulário resumo do módulo 4 de Análise de Sinais ISEL
Formulário resumo do módulo 5 de Análise de Sinais ISEL
Cálculo da Transformada Z
Operações com Sinais
Sinais e Sistemas - Relação de Parseval
Revisão de tipos de Transformadas
Soma, diferença, produto e divisão da função seno pela função coseno
Funções Exponenciais Crescente e Decrescente
Funções Impulso e Escalão em tempo discreto
Sequência discreta de um coseno
Estudo da função 3*sin(6*pi*t) + 5*cos(8*pi*t)
Sinais, Soma de Sinais e Período
Problema de Sinais e Sistemas
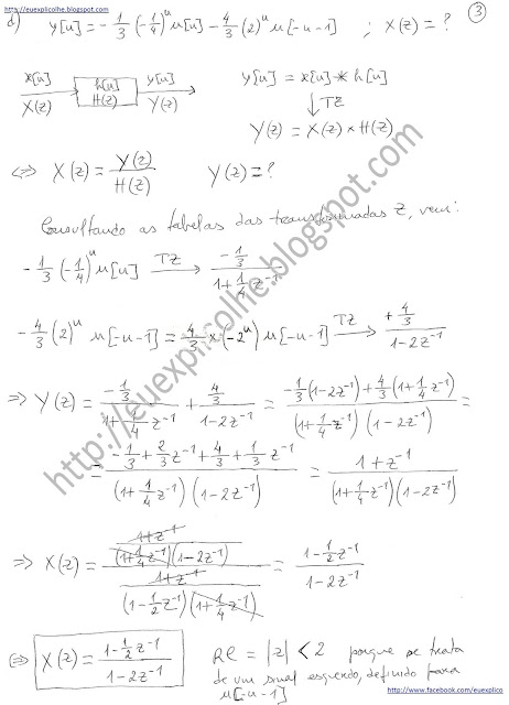
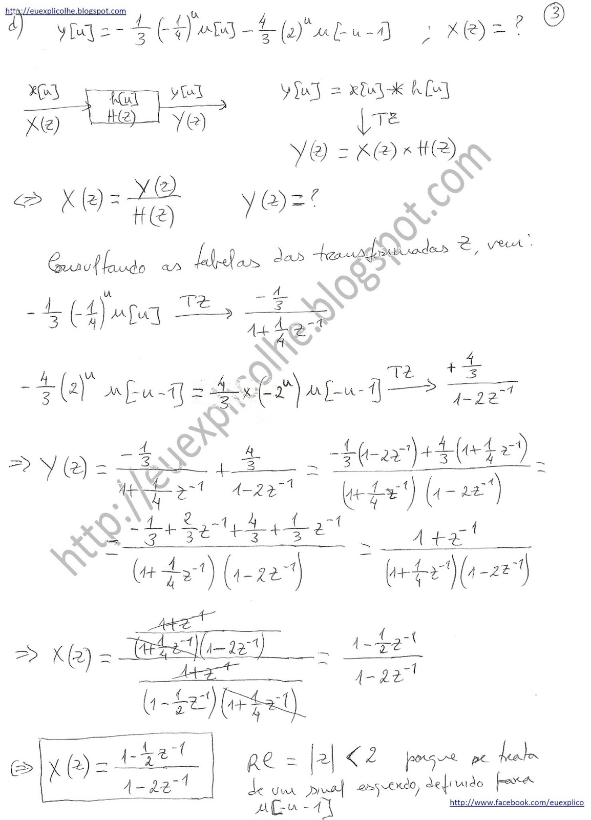
Resolução de perguntas de exame de Sinais e Sistemas do ISEL
Resolução do Problema 13, do exame de 22-06-2013, de Sinais e Sistemas do IST
Resolução do Problema 11, do exame de 22-06-2013, de Sinais e Sistemas do IST
Resolução do Problema 8, do exame de 22-06-2013, de Sinais e Sistemas do IST
Resolução do problema 7 de exame (22-06-2013) de Sinais e Sistemas do IST
Teoria de Sinais e Sistemas
Resolução de problema de teste de Análise de Sinais, Eng. Biomédica - FCT UNL
Problema 1.26c), do livro "Signals & Systems", Oppenheim, Willsky, Nawab
Resolução do problema 3.16a) do livro Signals & Systems
Resolução do problema 3.16b) do livro Signals & Systems
Resolução do problema 3.16c) do livro Signals & Systems
Oppenheim - Alguns pares de TF e SF, básicos
Resolução de um problema de teste de Sinais e Sistemas da UL
Resolução de exercícios com Sistemas Lineares e Invariantes no Tempo (SLTI)
Decomposição do coseno em série de Fourier
Espectro de um sinal de tempo discreto
Papel para fazer diagramas de Bode
Reconstrução de um sinal a partir dos seus coeficientes de Fourier
Matlab para Sinais e Sistemas
























.jpg)




