Conceição Pereira

Conceição Pereira
Licenciatura (5 anos) em Engenharia Electrotécnica e de Computadores, ramo de Sistemas Electrónicos e Computadores, no Instituto Superior Técnico.
Clique aqui para saber mais sobre Conceição Pereira
Conceição Pereira no LinkedIn
Mostrar mensagens com a etiqueta IST. Mostrar todas as mensagens
Mostrar mensagens com a etiqueta IST. Mostrar todas as mensagens

terça-feira, 16 de outubro de 2018

Resolução - Fundamentos de Controlo IST

Resolução da pergunta I do Teste T1, de 3 de Novembro de 2011. 







Se quiser explicações sobre matérias que encontre neste blogue), contacte-nos, de preferência por email. Este blogue destina-se à divulgação dos nossos serviços. É apenas uma pequena amostra do que sabemos e podemos fazer.

Contactos: eu.explico.lhe@gmail.com / eu.explico.lhe@hotmail.com / 91 978 82 70 / 96 426 05 63

sábado, 13 de outubro de 2018

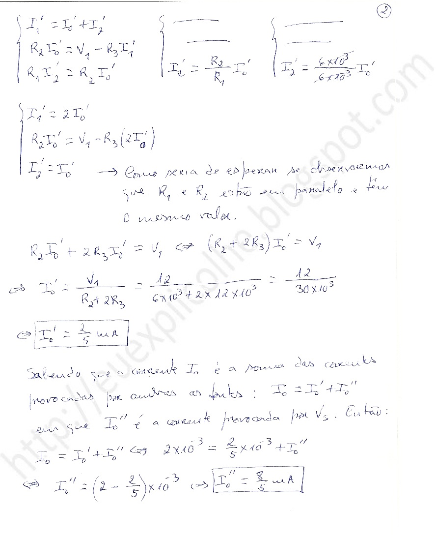
Resolução de um problema com um circuito eléctrico


Determinar o valor da fonte Vs sabendo que Io vale 2mA.




Na resolução deste problema foram usados:
- O teorema da sobreposição
- A lei das malhas
- A lei dos nós
- A lei de Ohm



Se quiser explicações sobre matérias que encontre neste blogue), contacte-nos, de preferência por email. Este blogue destina-se à divulgação dos nossos serviços. É apenas uma pequena amostra do que sabemos e podemos fazer.


domingo, 7 de outubro de 2018

Implementação de máquinas de estados com recurso a memória


Resolução de problema de exame de Sistemas Digitais do IST.


Se quiser explicações sobre esta matéria (ou outras que encontre neste blogue), contacte-nos, de preferência por email. Este blogue destina-se à divulgação dos nossos serviços. É apenas uma pequena amostra do que sabemos e podemos fazer.

Contactos: eu.explico.lhe@gmail.com / eu.explico.lhe@hotmail.com / 91 978 82 70 / 96 426 05 63

sábado, 6 de outubro de 2018

Resolução de Exame de Controlo, IST, 29 de Janeiro de 2011



Veja a resolução abaixo




Se quiser explicações mais detalhadas sobre esta matéria (ou outras que encontre neste blogue), contacte-nos, de preferência por email. Este blogue destina-se à divulgação dos nossos serviços. É apenas uma pequena amostra do que sabemos e podemos fazer.

Contactos: eu.explico.lhe@gmail.com / eu.explico.lhe@hotmail.com / 91 978 82 70 / 96 426 05 63

sexta-feira, 5 de outubro de 2018

Convolução de Sinais em tempo Discreto


Veja abaixo a convolução passo-a-passo










Se quiser explicações sobre esta matéria (ou outras que encontre neste blogue), contacte-nos, de preferência por email. Este blogue destina-se à divulgação dos nossos serviços. É apenas uma pequena amostra do que sabemos e podemos fazer.


terça-feira, 11 de setembro de 2018

BOAS VINDAS ao ano lectivo 2018 - 2019 !!!

Olá a todos!!!
É com grande entusiasmo que vos dou as boas vindas!

Começa um ano lectivo novinho em folha! :-)
Novas disciplinas!
Novas matérias!
Novos professores!
Novas escolas!
Novos livros!
Novos materiais!
E, mais importante que tudo o resto, mais oportunidades de aprender e saber mais!
Descobrir temas novos!
Aprofundar temas interessantes!
Crescer em sabedoria!
Saciar a "fome" de saber!


Se quiser explicações contacte-nos, de preferência por email. Este blogue destina-se à divulgação dos nossos serviços. É apenas uma pequena amostra do que sabemos e podemos fazer.
Veja a lista de matérias já preparadas seguindo esta ligação, ou copiando e colando este endereço: https://euexplicolhe.blogspot.com/2018/06/explicacoes-materias.html

Outras matérias podem ser disponibilizadas. Não deixe de nos contactar!

Contactos: eu.explico.lhe@gmail.com / eu.explico.lhe@hotmail.com / 91 978 82 70 / 96 426 05 63
Facebook: https://www.facebook.com/euexplico/

sexta-feira, 29 de junho de 2018

Contador de números ímpares - Sistemas Lógicos e Digitais



Resolução de problema de exame de Sistemas Digitais do Instituto Superior Técnico



Se quiser a resolução completa e/ou explicações mais detalhadas sobre esta matéria (ou outras que encontre neste blogue), contacte-nos, de preferência por email. Este blogue destina-se à divulgação dos nossos serviços. É apenas uma pequena amostra do que sabemos e podemos fazer.

Contactos: eu.explico.lhe@gmail.com / eu.explico.lhe@hotmail.com / 91 978 82 70 / 96 426 05 63

domingo, 24 de junho de 2018

Explicações - Matérias


Lista de matérias e Faculdades






Se quiser explicações contacte-nos, de preferência por email. Este blogue destina-se à divulgação dos nossos serviços. É apenas uma pequena amostra do que sabemos e podemos fazer.


Contactos: eu.explico.lhe@gmail.com / eu.explico.lhe@hotmail.com / 91 978 82 70 / 96 426 05 63



segunda-feira, 4 de junho de 2018

Teoria de Sinais e Sistemas

Resposta de um SLIT descrito por uma equação diferencial, a um dirac de área não unitária.



Se quiser a resolução completa e/ou explicações mais detalhadas sobre esta matéria (ou outras que encontre neste blogue), contacte-nos, de preferência por email. Este blogue destina-se à divulgação dos nossos serviços. É apenas uma pequena amostra do que sabemos e podemos fazer.


Sinais e Sistemas


Reconstrução de um sinal a partir dos coeficientes de Fourier



Se quiser a resolução completa e/ou explicações mais detalhadas sobre esta matéria (ou outras que encontre neste blogue), contacte-nos, de preferência por email. Este blogue destina-se à divulgação dos nossos serviços. É apenas uma pequena amostra do que sabemos e podemos fazer.

Contactos: eu.explico.lhe@gmail.com / eu.explico.lhe@hotmail.com / 91 978 82 70 / 96 426 05 63

Lógica e Sistemas Digitais

Breve introducção às Bases de Numeração



Se quiser a resolução completa e/ou explicações mais detalhadas sobre esta matéria (ou outras que encontre neste blogue), contacte-nos, de preferência por email. Este blogue destina-se à divulgação dos nossos serviços. É apenas uma pequena amostra do que sabemos e podemos fazer.

Contactos: eu.explico.lhe@gmail.com / eu.explico.lhe@hotmail.com / 91 978 82 70 / 96 426 05 63

Análise de Circuitos

Na resolução deste problema são usados:
- O teorema da sobreposição
- A lei das malhas
- A lei dos nós
- A lei de Ohm



Se quiser a resolução completa e/ou explicações mais detalhadas sobre esta matéria (ou outras que encontre neste blogue), contacte-nos, de preferência por email. Este blogue destina-se à divulgação dos nossos serviços. É apenas uma pequena amostra do que sabemos e podemos fazer.


domingo, 3 de junho de 2018

Detecção de Sinais com ruído gaussiano

Probabilidades de detecção dependentes de valor de limiar.




Se quiser a resolução completa e/ou explicações mais detalhadas sobre esta matéria (ou outras que encontre neste blogue), contacte-nos, de preferência por email. Este blogue destina-se à divulgação dos nossos serviços. É apenas uma pequena amostra do que sabemos e podemos fazer.








sábado, 2 de junho de 2018

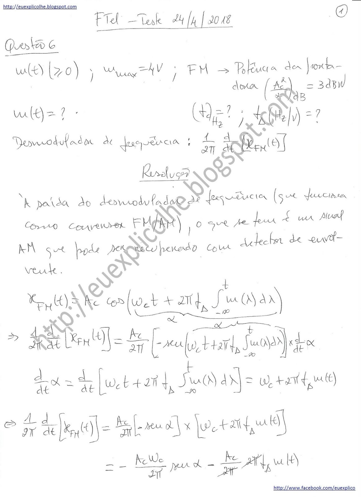
Desmodulador de Frequência



Se quiser a resolução completa e/ou explicações mais detalhadas sobre esta matéria (ou outras que encontre neste blogue), contacte-nos, de preferência por email. Este blogue destina-se à divulgação dos nossos serviços. É apenas uma pequena amostra do que sabemos e podemos fazer.



Explicações (matérias e universidades)

Preços