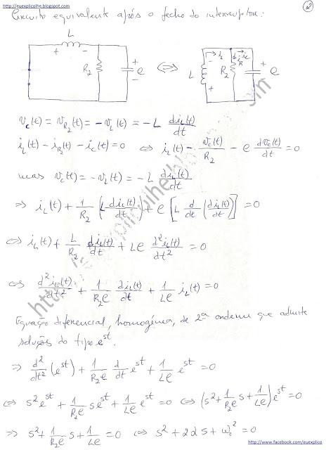
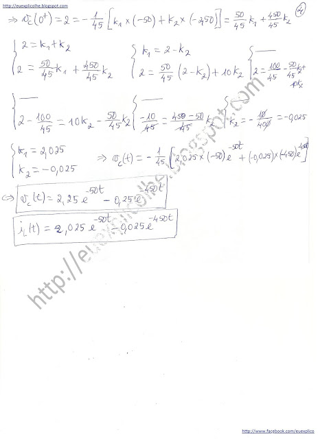
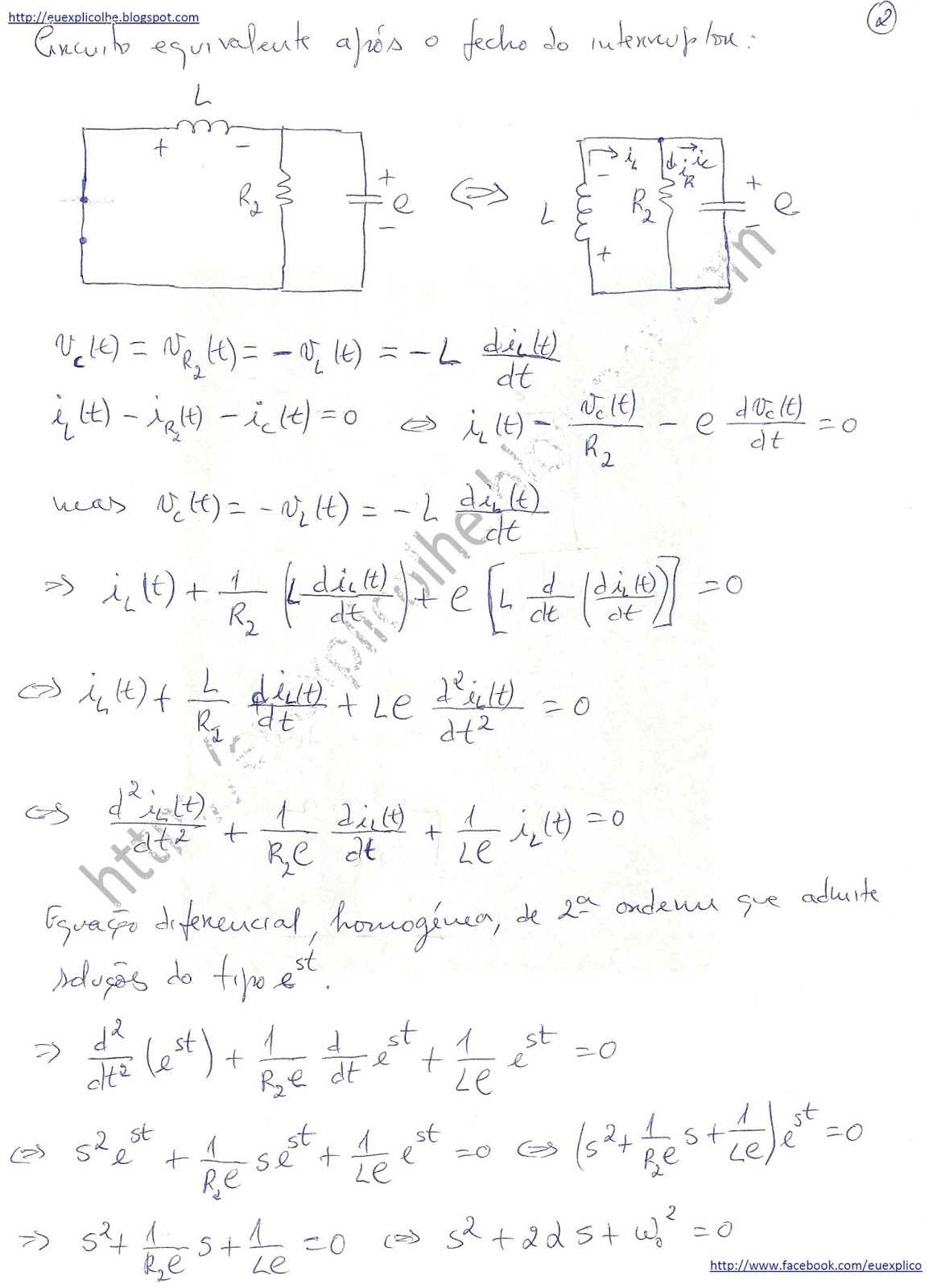
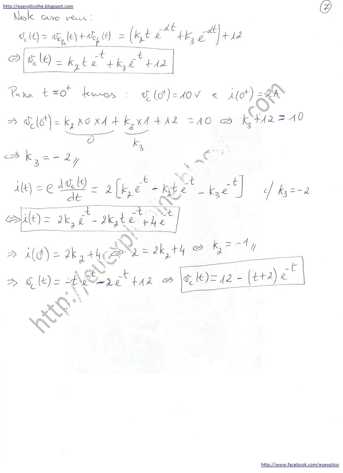
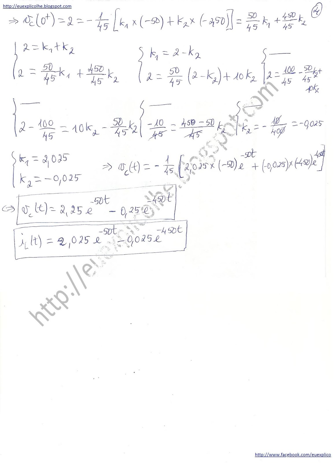
Resolução do Problema 8, do exame de 22-06-2013, de Sinais e Sistemas do IST.
Se quiser explicações sobre matérias que encontre neste blogue, contacte-nos, de preferência por email. Este blogue destina-se à divulgação dos nossos serviços. É apenas uma pequena amostra do que sabemos e podemos fazer.















































